您的位置: 首页 >校务公开>通知公告>详细内容

通知公告

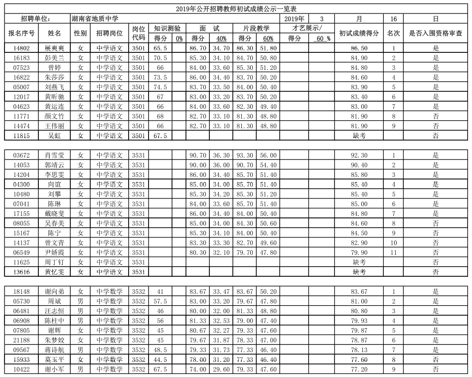
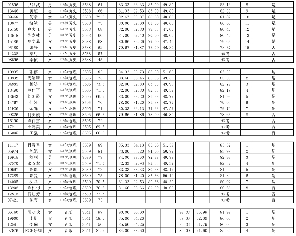
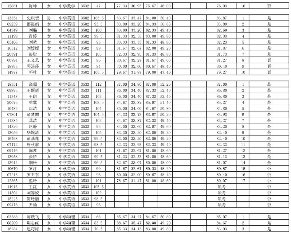
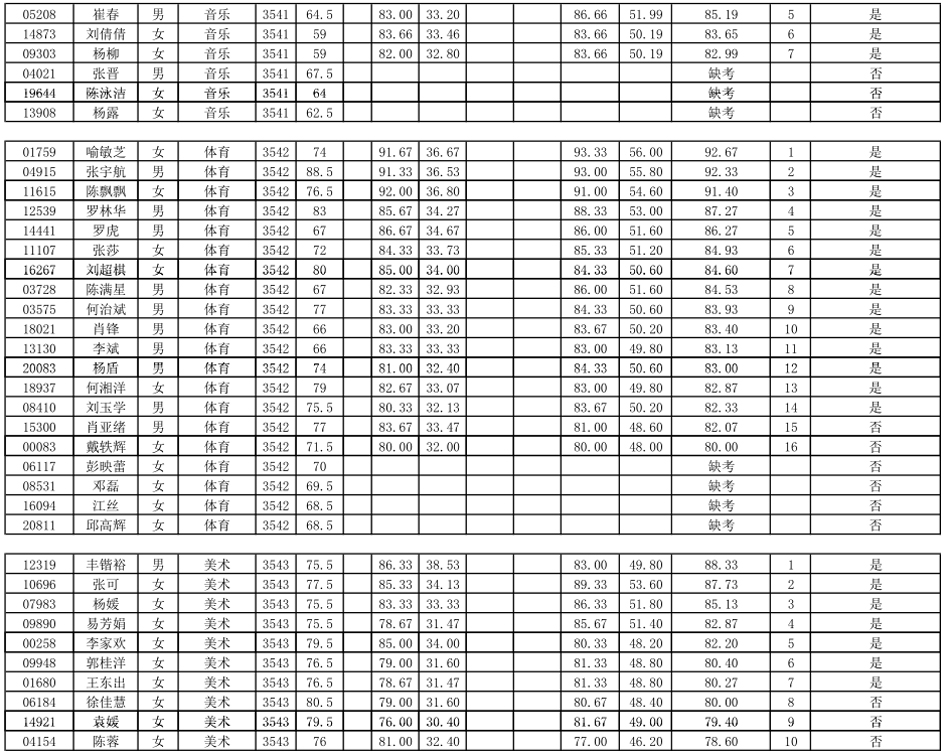
2019年公开招聘教师初试成绩公示一览表

来源:浏览数:3230次 发布时间:2019-03-16 19:51:00 浏览次数: 【字体:

1.jpg

2.jpg

3.jpg


4-1.jpg

5.jpg


6-1.jpg

7.jpg

8.jpg

分享到:
【打印正文】